Вклад юбилейный от Альфа банка

По тв реклама от АБ - до 31 мая предложение

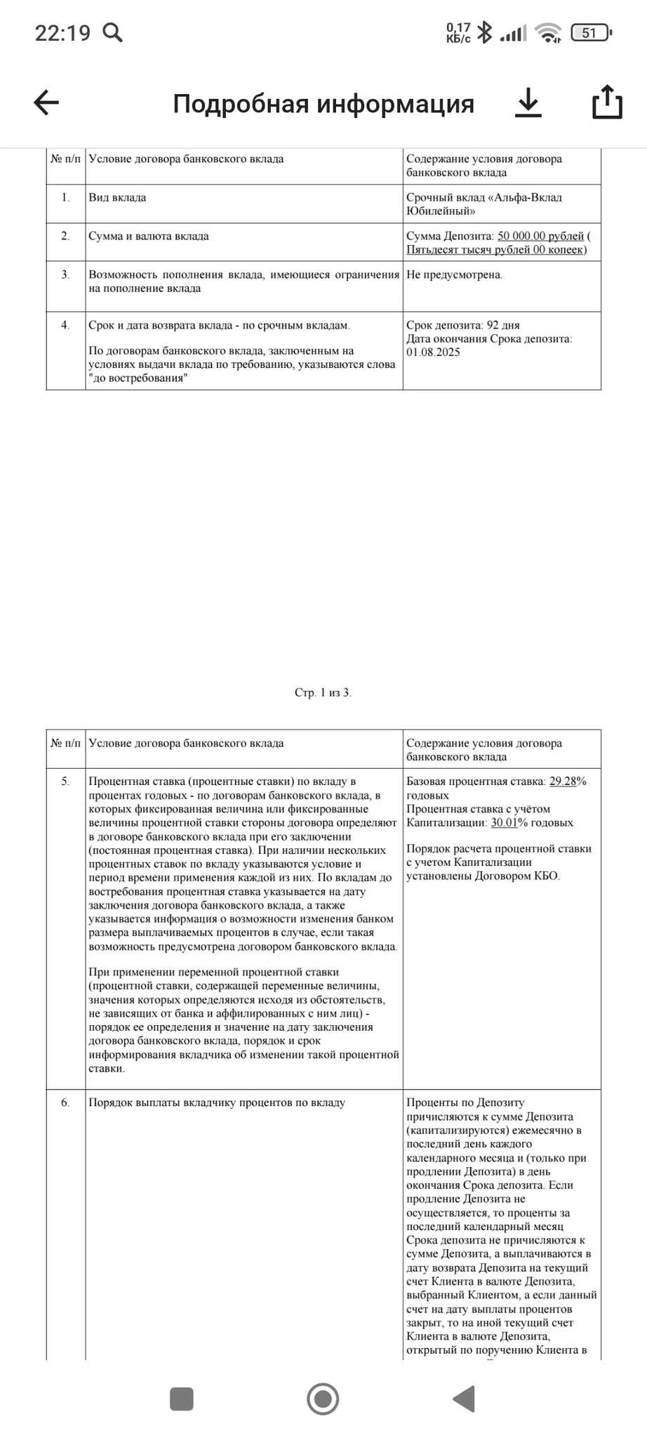
Получается, через месяц уже будет больше 50000 с учётом начисленных процентов. Ставка 30% при этом останется? или проценты начисляются на тело вклада? Надо выбрать без капитализации? Что-то я туплю

анонимчик,
30-это ставка с учётом капитализации. Номинальная ставка по договору-29.28.

Аноним 342,

Спасибо. Поняла

Я вообще в втб разочарована. Был вклад под 21%, сейчас просто изменили на 19%.
Хочу закрыть. Ищу куда выгоднее вложить.
Сумма 500 тр всего

Аноним 214: Сумма 500 тр всего

Такая же
Пока в сбере. Куда дальше? В Сбере 20 % - это мало? Где-то выше?
В Газпроме было 24% месяц назад. Сейчас нет.
Пока в Сбере под 22 на 3 мес.

Аноним 214: вообще в втб разочарована. Был вклад под 21%, сейчас просто изменили на 19%.
Хочу закрыть. Ищу куда выгоднее вложить.
Сумма 500 тр всего

Накопительный счет в яндекс банке, 21 процент у меня, капитализация есть снять можно хоть когда.

Вы не авторизованы и не можете оставлять сообщения. Чтобы авторизоваться, нажмите на эту ссылку (после входа Вы вернетесь на эту же страницу).

Все разделы